Synthetische Polymere
IMPP-Score: 1.5
Nomenklatur synthetischer Polymere
Die Nomenklatur synthetischer Polymere hilft uns, die Vielfalt der Polymerarten zu kategorisieren und zu verstehen. Beginnen wir mit einigen bekannten Polymeren und ihren Monomereinheiten. Polyvinylchlorid (PVC) wird durch Polymerisation von Vinylchlorid-Monomeren gebildet. Polycarbonat entsteht aus Bisphenol A und Phosgen. Polyethylenterephthalat (PET) ist ein Polyester, der aus Terephthalsäure und Ethylenglykol synthetisiert wird. Polystyrol wird durch die Polymerisation von Styrol hergestellt. All diese Polymere werden unter Missachtung gewisser Feinheiten oft nach ihren Monomeren benannt. Da der Handelsname oft davon abweicht, ist eine solide Kenntnis der strukturellen Zusammensetzung von großem Wert. Das IMPP fragt besonders gerne nach der Zuordnung von Monomeren zu ihren Polymeren.
Strukturtypen und ihre Verknüpfung
Synthetische Polymere können auf vielfältige Weise strukturiert sein. So besteht Polyethylen aus sich wiederholenden Ethylen-Einheiten und kann unterschiedlich vernetzt sein. Polyurethane entstehen durch die Reaktion eines Diisocyanats mit einem Polyol und enthalten charakteristische Urethan-Verknüpfungen. Polyamide wie Perlon oder Polyamid-6 werden aus ε-Caprolactam durch ringöffnende Polymerisation gebildet und zeichnen sich durch ihre sich wiederholende Peptidbindung aus. Hier ist es besonders wichtig, dass du die typischen Bindungsmerkmale und die daraus resultierenden Eigenschaften des Polymers erkennst.
Verschiedene Monomereinheiten verknüpfen sich zu unterschiedlichen Polymerstrukturen, die die physikalischen Eigenschaften maßgeblich beeinflussen. Zum Beispiel verleiht die cis-1,4-Verknüpfung des Naturkautschuks ihm seine charakteristische Elastizität.
Vernetzungsreaktionen bei Polymeren
Phenol-Formaldehyd-Harze sind ein Beispiel für Polymere, bei denen die Vernetzung eine wesentliche Rolle spielt. Bei sauren oder basischen Bedingungen reagiert Formaldehyd mit Phenol zu vernetzten Strukturen, die zu harzartigen Materialien aushärten. Es ist wichtig zu verstehen, dass die Wahl des Katalysators und der Bedingungen die Art der Vernetzung und damit die Eigenschaften des Endprodukts bestimmen kann.
Detaillierte Beispiele
Die Polymerisation von Isopren zu cis-1,4-Polyisopren, dem Naturkautschuk, ist ein Prozess, der die Elastizität und andere Eigenschaften des Materials durch die spezifische Anordnung der Monomere beeinflusst. Polyurethane zeigen, wie durch unterschiedlich harte und weiche Segmente die physikalischen Eigenschaften, wie Flexibilität und Steifigkeit, variabel gestaltet werden können. Die genaue Kenntnis dieser Eigenschaften und wie sie durch die molekulare Architektur entstehen, ist essenziell.
Polymere aus anderen Monomeren
Polyethylenglycole (PEG) und Poly(methacrylsäuremethylester) (Plexiglas) illustrieren die Vielfalt der Polymerchemie. PEGs sind wasserlöslich und finden in vielen Anwendungen Verwendung, während Plexiglas für seine Transparenz bekannt ist. Das Verständnis, wie die Struktur dieser Polymere zu ihren einzigartigen Eigenschaften führt, ist ein wichtiger Bestandteil deiner Prüfungsvorbereitung.
Charakterisierung von Polymeren
Das IMPP legt Wert auf die Fähigkeit zur Charakterisierung von Polymeren. So können Aramide, verwendet in schusssicheren Westen, anhand ihrer Kevlar-ähnlichen Struktur und Polyethylenglykole (PEG) anhand ihrer Wasserlöslichkeit identifiziert werden.
Strukturelle Unterschiede und Eigenschaften
Verstehen, warum HDPE (High-Density Polyethylene) starrer ist als LDPE (Low-Density Polyethylene), ist zentral. Dies liegt an HDPEs linearer Struktur ohne lange Seitenketten, was eine höhere Packungsdichte und damit eine größere Festigkeit ermöglicht.
Bei der Prüfung ist es wichtig, Strukturunterschiede zwischen eng verwandten Polymeren wie HDPE und LDPE zu erkennen und zu erklären, wie diese Unterschiede die materiellen Eigenschaften beeinflussen.
Spezielle Synthesen
Die Ringöffnungspolymerisation von ε-Caprolactam zu Polyamid-6 und dessen Strukturbildung in Perlon sind spezielle Reaktionsmechanismen, die euch bewusst sein sollten. Die Fähigkeit, solche speziellen Synthesewege nachzuvollziehen, zeigt ein tiefes Verständnis für die Polymerchemie.
Synthese synthetischer Polymere
Die Synthese von Polymeren ist ein faszinierendes Feld der organischen Chemie und für die Prüfungsvorbereitung solltest du insbesondere auf die unterschiedlichen Polymerisationstechniken achten. In diesem Abschnitt wird genau darauf eingegangen und die verschiedenen Arten der Polymerisation, ihre Mechanismen und Produkte werden erörtert.
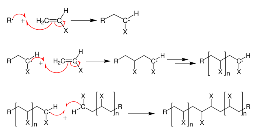
Radikalische Polymerisation
Die radikalische Polymerisation ist eine der häufigsten Methoden zur Herstellung von Polymeren und wird besonders gerne vom IMPP abgefragt. Sie beginnt mit der Initiation durch Radikalstarter wie Peroxide oder Azoverbindungen, die unter geeigneten Bedingungen zerfallen und reaktive Radikale bilden. Diese Radikale reagieren dann mit einem Monomer, das eine Doppelbindung besitzt, zum Beispiel beim Polyacrylnitril, wo das Monomer Acrylnitril (CH2=CH-CN) mittels radikalischer Addition zu langen Polymerketten reagiert. Die Reaktion setzt sich fort, indem das Radikal immer wieder neue Monomereinheiten anreichert (Kettenwachstum) bis schließlich durch Kombination oder Disproportionierung das Kettenende erreicht ist.

Bei der radikalischen Polymerisation werden oft verzweigte Strukturen erzeugt, die zu unterschiedlichen Eigenschaften des Polymers führen können, wie z.B. unterschiedliche Kristallinität bei HDPE und LDPE.
Kationische Polymerisation
Im Gegensatz dazu erfolgt die kationische Polymerisation oft mit Lewis-Säuren wie AlCl3 als Katalysator, welche das Wachstum der Polymerkette über eine positive Ladung auf einem der beteiligten Monomere steuern. Dieser Mechanismus erlaubt die Synthese von Polymeren wie Polyisobutylen, welches häufig in Schmiermitteln oder als Butylkautschuk eingesetzt wird.
Anionische Polymerisation
Die anionische Polymerisation benötigt hingegen starke Basen als Initiatoren, die sehr reaktive Anionen erzeugen. Ein Beispiel ist das Polymer “Perlon”, ein Polyamid-6, das durch die anionische ringöffnende Polymerisation von ε-Caprolactam gebildet wird.
Koordinative Insertionspolymerisation und Ziegler-Natta-Katalysatoren
Bei der koordinative Insertionspolymerisation kommen Metallkomplexe zum Einsatz, die durch den Ziegler-Natta-Katalysator bekannt wurden. Diese Katalysatoren ermöglichen die Synthese von hochmolekularen, kristallinen Polymeren wie PE (Polyethylen), wo insbesondere das HDPE (High Density Polyethylene) durch seine hohe Kristallinität und Festigkeit hervorsticht.
Polyadditionsreaktionen
Polyadditionsreaktionen, wie die Bildung von Polyurethanschaum, sind spezielle Formen der Polymerisation, die ohne die Freisetzung von Nebenprodukten ablaufen. Hierbei reagieren mehrfunktionale Isocyanate mit Polyolen in Gegenwart eines Treibmittels und produzieren so den charakteristischen Schaum.
Polykondensationsreaktionen
Bei Polykondensationsreaktionen hingegen entstehen durch die Reaktion der Monomere Polymere mit Freisetzung von niedermolekularen Verbindungen wie Wasser oder Alkoholen. Ein Beispiel hierfür ist PET (Polyethylenterephthalat), das aus Terephthalsäure und Ethylenglykol hergestellt wird und bei der Umesterung zu Wasser als Nebenprodukt führt.
Zusammenfassung
Feedback
Melde Fehler oder Verbesserungsvorschläge zur aktuellen Seite über dieses Formular ❤️. Als Dankeschön verlosen wir nach dem 1. Staatsexamen 3x 50 € unter allen Teilnehmenden 💰. Jedes konstruktive Feedback erhöht deine Gewinnchancen. Es gelten unsere Teilnahmebedingungen.
✓ Vielen Dank! Dein Feedback wurde erfolgreich gesendet.
Footnotes
Credits Polyvinylchlorid (PVC) Grafik: Jü, Polyvinyl chloride Structural Formula V2, als gemeinfrei gekennzeichnet, Details auf Wikimedia Commons↩︎
Credits Radikalische Polymerisations-Reaktion Grafik: MaChe, RadikalischeKettenpolymerisation Abbruch Kombination, als gemeinfrei gekennzeichnet, Details auf Wikimedia Commons↩︎
